このブラウザは、JavaScript が無効になっています。JavaScriptを有効にして再度、お越しください。
ログイン
ログイン
ログインID
パスワード
次回から自動ログイン
パスワード再発行
学校より
◆教育方針
R8学校教育ビジョン(シン).pdf
◆学校の紹介
橋北中学校案内.pdf
★R8年度_年間・月間予定表(CS・PTA総会用).pdf
◆橋北中学校コミュニティスクール
橋北中学校コミュニティスクール.pdf
◆いじめ防止基本方針
橋北中学校いじめ対策防止基本方針(1月31日改訂).pdf
◆四日市市学校情報化推進指針について
◆緊急対応
R8気象に関する警報について学校HP掲載用.pdf
「大雨警報」発表時の部活動について.pdf
◆部活動方針(土日の部活動の地域展開について)
橋北中学校 令和8年度部活動実施計画.pdf
日々の学習を
手軽にオンラインで!
▼映像教材・アプリ教材を豊富に取り揃えています▼
「L-Gate」
にログインして
「教材・アプリ」を選択すると
利用できるコンテンツが表示されます
*L-Gateの使い方
【令和3年度からの四日市市立中学校共用標準制服の導入について】
◆令和3年度からの四日市市立中学校共用標準制服の導入について.pdf
◆四日市市立中学校共用標準制服デザイン.pdf
お知らせ
SNSで不適切な
書き込みを発見
したら・・・
ネットみえーる広報チラシ
(三重県教育委員会)
→
ここをクリック
教育委員会や警察等の関係機関と連携し、書き込みの削除等を行います。
被害にあっている児童生徒を守る対応や心のケアを行います。
お知らせ
学校教育目標 シン「あなたらしく,あたらしく」
お知らせ
◆令和7年7月1日(火)から防災部がACジャパンのCMに登場しています◆
※詳細はこちらから
「われらの部活は防災部」
トップニュース
◆橋北消防フェスタ202
6開
催
2026.3.1
防災部のメンバーが
初期消火、起震車体験、AED研修、非常食の炊き出し
など運営側として参加しました。
防災部は
「自分たちのまちは自分たちで守る」
といった自覚を持ち、防災意識の醸成などを目指して活動しています。部員募集中!!
→ 「防災部」発足のニュース記事
(2023年10月11日)
中学校区学びの一体化目標「出せる強さと受けとめるしなやかさ」
新着ニュース
学校生活の紹介・今日のトピック・お知らせ
>> 記事詳細
< 前の記事へ
次の記事へ >
2021/02/05
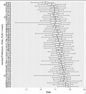
箱ひげ図?
| by
橋北中学校
2年生の数学の授業では,今年からの内容で「箱ひげ図」という資料のまとめ方・見方について学習しています。
ただ,見た目は難しそうですが、決して難しい内容ではありません。
みんなタブレットを使って,考えて図をかいています。
ただこの箱ひげ図を見てください。
初めて見た人は何のことだかわからないですよね。2年生の人は少しは意味がわかるかな?
ちなみにこれは2020年のセンター試験の図です。
14:02
< 前の記事へ
次の記事へ >
一覧へ戻る
メディア掲載情報
2025年7月
防災部がACジャパンのCMに登場!
2024年11月
中学生が小学生に防災の授業 三重・四日市
OBが美術指導 作品テーマは自画像
2024年10月
中学生のパワーに先輩は感激、卒業生の画家山内大介さんが特別授業、四日市の橋北中学
橋北中OB日展作家山内さんが美術指導
2024年9月
橋北中の生徒が耳傾ける 橋北交流会館で学び舎音楽会
2024年8月
部活応援隊が行く‼ 橋北中学校防災部
2024年6月
洋画家山内さん橋北中で除幕式
2024年3月
卒業式で生徒たちが目標を発表
2024年2月
生徒が四日市市議会に出席
2023年11月
「環境教育・ESD実践動画100選」に選ばれました
2023年11月
生徒と市議会議員が意見交換会
2023年10月
「
防災部」を設立
2023年10月
画家になった先輩が美術の特別授業
2023年7月
生徒が四日市市に政策提案
2023年2月
橋北中が文部科学大臣表彰
新着情報
最新
5件
10件
20件
50件
100件
パブリックスペース
今日の橋北中は、たくさんの人で賑わってます!
04/24 15:14
教頭先生がんばる!
04/24 15:09
明日24日(金)は授業参観
04/23 14:19
3年生 全国学力・学習状況調査(国語・数学)
04/23 13:54
第1回防災部活動
04/22 16:32
リンクリスト
検索
橋北地区
橋北こども園
橋北小学校
橋北地区の案内
四日市市こども子育て交流プラザ
四日市市
四日市市立小中学校
四日市こども広報
四日市市博物館・プラネタリウム
四日市市教育委員会 - 四日市市教育委員会公式サイトです 四日市市教育委員会公式ホームページ
関係機関等
中学校体育連盟三泗支部
三泗教育発表振興会
進路資料
三重県立高等学校案内
三重県学校ネットワーク
三重県立高等学校へのリンク集
三重県高等学校入学者選抜
三重県私学協会(高等学校)
職業情報提供サイトO-NET
カレンダー
2026
04
日
月
火
水
木
金
土
29
30
31
1
2
3
4
5
6
7
8
9
10
11
12
13
14
15
16
17
18
19
20
21
22
23
24
25
26
27
28
29
30
1
2
オンライン状況
オンラインユーザー
14人
ログインユーザー
0人
カウンタ
COUNTER
Powered by NetCommons2
The NetCommons Project